导电高分子凝胶是一种拥有辽阔应用远景的新型质料,,,由于它既是一种有机导体,,,又继续了凝胶质料奇异的三维网络结构和由此爆发的奇异物理化学性子,,,好比照大的外貌积、高孔隙率以及结构可调控性。。克日,,,德克萨斯大学奥斯汀分校的余桂华教授(点击审查先容)团队使用导电高分子凝胶的这些奇异性子,,,设计开发了新型锂离子电池粘合剂,,,有用提高了电池电极的性能。。
锂离子电池的电极通常由电极质料和粘合剂组成。。近年来,,,一大批新型电极质料,,,尤其是纳米结构的电极质料乐成合成。。然而,,,这些高性能质料对锂离子电池粘合剂的要求也面临着挑战。。古板粘合剂由导电添加剂(通常为碳纳米颗粒)和绝缘高分子组成,,,由于缺乏结构上的优异稳固性与相容性,,,无法实现电极内种种因素的匀称漫衍,,,无法同时包管电极内高效的电子和离子传输,,,从而导致电极中传输瓶颈的泛起。。

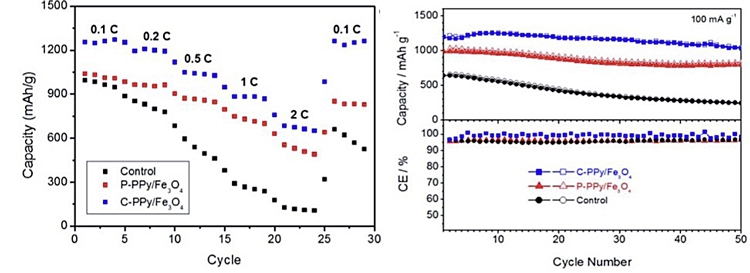
德克萨斯大学奥斯汀分校团队设计开发的基于导电高分子凝胶的新型锂离子电池粘合剂很好地解决了上述问题。。他们接纳多官能团分子(植酸、酞菁铜等)作为交联剂,,,将导电高分子(聚吡咯)在电极质料疏散液中原位聚合并且交联,,,形成拥有3D网络结构的电池电极。。该凝胶粘合剂在电极中构建了一个拥有高电导率的骨架,,,将嵌于其中的电极质料相互毗连,,,从而为每一个活性子料颗粒提供高效的导电通路。。与此同时,,,三维结构电极中的多孔结构能增进电解液在电极中流动,,,从而改善离子的传输。。得益于原位聚合,,,导电高分子凝胶粘合剂能在每一个电极质料颗粒的外貌形成高分子薄层,,,从而阻止颗粒的群集,,,包管了通往每一个颗粒的电子离子传输。。以上这些特征包管了电池电极的优良倍率性能。。另外,,,得益于高分子质料的粘弹性,,,凝胶骨架能协调电极质料在电化学反应中爆发的体积转变,,,从而包管传输通路的稳固性,,,提高电极的使用寿命。。
导电高分子凝胶粘合剂的特征能通过使用差别交联分子举行调控,,,从而普遍适用于种种电极质料。。另外,,,该质料制备简朴、价钱低廉,,,有望适用于工业生产,,,成为下一代商用锂离子电池粘合剂。。

该论文作者为:Ye Shi, Jun Zhang, Andrea M. Bruck, Yiman Zhang, Jing Li, Eric A. Stach, Kenneth J. Takeuchi, Amy C. Marschilok, Esther S. Takeuchi, Guihua Yu
A Tunable 3D Nanostructured Conductive Gel Framework Electrode for High-Performance Lithium Ion Batteries
Adv. Mater., 2017, 29, 1603922, DOI: 10.1002/adma.201603922